赵耀辉 毕汝岱:从家庭视角看中国女性劳动参与率的下降趋势
日期:2025-02-12 来源:《武汉大学学报(哲学社会科学版)》赵耀辉,毕汝岱
改革开放以来,中国经济与社会的深刻变迁对女性的职业选择和家庭行为产生了重要影响。教育普及、产业升级以及劳动力市场改革为女性提供了更多职业发展机会,但女性劳动参与率自经济转型以来呈现持续下降趋势。作为衡量女性劳动力市场表现的重要指标,劳动参与率的下降可能表明女性在事业与家庭间的平衡愈加困难,部分女性因家庭责任而退出职场。“母职惩罚”(指生育对女性职场发展的不利影响)的持续存在可能促使部分女性减少或放弃生育,对我国长期人口规模形成下行压力。因此,分析女性劳动参与率的变化特征及其背后机制具有重要意义。
已有研究多将女性劳动参与率的下降归因于结构性和制度性变迁,如经济转型加剧了劳动力市场竞争[1](P59-68)[2](P403-324),性别歧视上升[3](P58-68)[4](P43-65,187)[5](P224-243),以及公共幼儿照料服务体系的解体增加了育儿负担[6](P131-155)。这些因素削弱了女性在劳动力市场中的地位,促使部分女性退出。此外,家庭收入增加和家庭照料责任等微观因素也被认为对女性劳动参与率具有显著影响[7](P18-27)[8](P56-74)[9](P103-111)。然而,现有文献主要集中于单一因素,缺乏对不同阶段影响因素动态变化的系统探讨;大多数研究聚焦于20世纪90年代至21世纪初的趋势,对近年来的变化缺乏深入分析。
家庭在女性劳动力市场参与决策中一直发挥着关键作用[10](P5-18)。传统性别角色观念赋予女性更多的家庭照料和育儿责任,限制了其劳动市场参与[11](P181-209)[12](P63-77)。随着育儿成本上升和社会观念转变,年轻女性推迟婚育甚至选择不婚不育的趋势日益明显[13](P16-28)[14](P78-93)。基于此,本文以家庭和婚育为切入点,利用1990-2020年全国历次人口普查和抽样调查的微观数据,系统分析中国女性劳动参与率的变化趋势及其背后的影响机制。我们尝试回答几个问题:第一,1990-2020年间中国女性劳动参与率总体演变呈现哪些特征,不同教育与婚育状态的女性群体之间存在哪些差异。第二,婚育行为模式的变化和婚育群体内部劳动参与率的调整,对总体劳动参与率的变化分别产生多大影响。第三,1990-2020年已婚女性劳动参与率的变化主要由哪些因素驱动。
本文首先通过趋势分析揭示女性劳动参与率的整体变化及细分。人群的异质性;其次,基于婚育行为对女性总体劳动参与率的变化因素分解,估算各婚育状态人口比例的结构性变化与婚育组内劳动参与率调整的相对贡献;最后,结合Oaxaca-Blinder分解,探讨已婚女性劳动参与率变化的驱动因素。
一、1990-2020年女性劳动参与率的变化趋势

本节分析1990-2020年间主要工作年龄女性劳动参与率的总体变化,并通过教育水平和婚育状态的分组分析,探讨细分人群的异质性。
(一) 数据来源与指标构建
本文采用1990-2020年间全国人口普查(1990年、2000年、2010年、2020年)及1%人口抽样调查(2005年和2015年)的微观数据,1995年的数据源于《1995年全国1%人口抽样调查资料》。这些数据为分析女性劳动参与率的变化趋势提供了完整的时间序列支持。本文研究的核心指标是25-44岁女性的劳动参与率(就业人口占总人口的比例),这是反映女性经济地位的重要指标。此外,还计算了25-44岁男性的劳动参与率作为参照。劳动参与状态由人口普查问卷中“是否为取得收入而工作了一小时以上”的问题界定,包括临时工、互联网平台灵活就业、家庭经营无酬帮工等情况。在职休假、在职培训和带薪停工等状态也被视为就业。
(二) 女性与男性劳动参与率的变化趋势
图1展示了1990-2020年间25-44岁人口按性别划分的劳动参与率变化。1990年,女性劳动参与率为90%,男性为98%,两者比例为92%。这一时期,中国女性劳动参与率显著高于同期世界平均水平。然而,到2020年,男女劳动参与率分别下降至71%和90%,两者比例降至79%。30年间,男性劳动参与率下降8个百分点(降幅8%),女性下降20个百分点(降幅22%)。2020年,中国女性劳动参与率已接近欧美国家水平。

图1 1990-2020年不同受教育水平男性和女性劳动参与率
注:数据来源包括历年的全国人口普查和1%人口抽样调查微观数据,以及《1995年全国1%人口抽样调查资料》。
劳动参与率的下降和性别差距的扩大在低学历群体中表现得尤为明显。1990-2020年,各教育水平的男女劳动参与率均呈下降趋势,但幅度和变化模式存在差异。高中及以下学历群体占总人口比重较大,其劳动参与率的变化与总体趋势相近。1990年,该群体的男性和女性劳动参与率分别为99%和90%。到2020年,这一比例下降至89%和66%。尤其在2010年后,低学历女性劳动参与率加速下降,10年间下降14个百分点,是此前20年下降幅度的1.4倍。高学历女性的劳动参与率下降较为缓慢。1990年和1995年,男女劳动参与率均接近97%。1995-2015年,两者分别以每年0.4和0.8个百分点的速度下降,到2015年分别降至90%和81%。2020年,高学历男性劳动参与率回升至92%,高学历女性劳动参与率的下降速度也显著减缓,五年间仅下降1个百分点,维持在80%的水平。
(三) 女性年龄别劳动参与率的变化
基于全体女性、高中及以下学历女性和大专及以上学历女性三类群体,本文计算了1990-2020年间各个年龄女性劳动参与率的变化,图2展示了25-44岁女性的“年龄—劳动参与率”曲线的演变趋势。从全体女性的角度看,1990年、2000年、2010年、2020年的“年龄—劳动参与率”曲线依次向下移动,显示女性劳动参与率整体下降,年轻女性的下降尤为显著。1990年,25-40岁女性劳动参与率接近90%,差距较小;40岁以上的劳动参与率逐步下降,部分女性开始退出劳动力市场。随着时间推移,曲线逐渐向上倾斜,年龄梯度逐步拉大。女性进入劳动力市场的年龄有所推迟,与教育水平的提高和学业完成时间的延长密切相关。劳动参与率的峰值年龄也呈现延迟趋势,从1990年和2000年的35岁逐步推后到2010年的41岁和2020年的44岁,显示女性开始退出劳动力市场的时间显著延后。

图2 1990-2020年女性的年龄别劳动参与率
从教育水平来看,低学历女性劳动参与率的总体下降幅度更大,而高学历女性的曲线呈现出更加明显的向上倾斜趋势。高中及以下学历女性的劳动参与率在1990-2010年间整体下降,25-40岁女性下降了约10个百分点;40岁以上的下降幅度较小,退出市场的趋势也变得不明显。2010-2020年,低学历女性的劳动参与率继续下降。到2020年,25-30岁女性劳动参与率仅为62%,为各年龄段中最低;30-39岁年龄段劳动参与率随着年龄增长有所上升,30岁为63%,39岁达到70%;40-44岁女性劳动参与率保持在70%左右,变化较为平稳。大专及以上学历女性的劳动参与率曲线显示出显著的年龄梯度特征。1990-2000年,高学历女性各年龄段劳动参与率均保持在90%以上,曲线几乎呈水平状态,说明这一时期年龄对劳动参与的影响较小。然而,2000年后,劳动参与率的年龄梯度逐渐显现,尤其是年轻女性劳动参与率下降明显。例如,2010年,25岁女性的劳动参与率为75%,到2020年进一步下降至73%;而44岁女性的劳动参与率分别为90%和85%。这一趋势表明,高学历女性劳动参与的年龄差异正在扩大,年轻女性的劳动市场参与表现有所弱化,年龄对劳动参与的影响日益突出。
(四) 不同婚育状态下女性年龄别劳动参与率的变化
针对35岁以下年轻女性劳动参与率显著下降的现象,本文对比1990年和2020年不同婚育状态女性的“年龄—劳动参与率”变化曲线,探讨这一趋势背后的家庭因素。具体而言,依据婚姻状况与子女数量,女性被划分为从未结婚、已婚未育、已婚一孩和已婚多孩四类。本文分别针对全体女性、高中及以下学历女性和大专及以上学历女性,计算不同婚育状态组的年龄别劳动参与率(图3)。

图3 1990年和2020年不同婚育状态下女性的年龄别劳动参与率
注:每个数据点表示特定年份、婚育状态和年龄组女性的劳动参与率,数据来源于对应年份的全国人口普查微观数据。
1990年,各婚育状态组女性在25-30岁区间的劳动参与率差距较小,其中已婚女性的劳动参与率略低于未婚女性。30岁以上,各婚育状态组的曲线开始分化,劳动参与率从低到高是:已婚多孩组、已婚一孩组、已婚未育组和从未结婚组。这一时期,高中及以下学历女性在总体女性中的比例较大,全体样本的“年龄—劳动参与率”曲线与低学历组曲线相似。对于大专及以上学历女性,尽管30岁以下未婚组的劳动参与率相对较低,但整体水平较高,各婚育状态组曲线之间的波动存在交叉,表明在这一时期婚育状态对高学历女性劳动参与率的影响较小。
到2020年,在35岁以下的女性全体中各婚育状态组之间的差异显著扩大,不同婚育状态的劳动参与率呈现由高到底顺序:从未结婚组、已婚未育组、已婚一孩组、已婚多孩组。从未结婚组的劳动参与率最高,可能因为婚姻和家庭因素对其就业行为的约束最低;已婚未育组次之,虽然婚姻可能带来一定的角色分工影响,但由于尚未涉及生育,其劳动参与率仍维持较高水平;已婚一孩组的劳动参与率与未育女性差距扩大,反映出育儿责任开始对其劳动市场参与形成抑制;已婚多孩组的劳动参与率最低,子女数量的增加显著加重了育儿和家庭责任的负担,对女性的职业行为形成了更大的压力。对比1990年和2020年的结果,婚育状态对女性劳动市场参与的影响显著增强。婚育责任的层级(如未育、一孩、多孩)细化了其影响的层次化表现,尤其是多孩母亲劳动参与率的显著下降,凸显家庭责任对女性劳动市场行为的深远作用及女性在平衡家庭与职业中面临的多重压力。
不同教育水平女性在劳动参与率的分化趋势上存在差异。对于高中及以下学历女性,35岁以下未婚女性的劳动参与率显著高于其他婚育状态组,而已婚未育、已婚一孩和已婚多孩三组的“年龄—劳动参与率”曲线存在交叉。这一特征表明,婚姻状态本身已对低学历女性的劳动市场参与产生重要影响。这可能是该群体在婚后即面临显著的家庭分工压力,即使尚未生育子女,也已承担较多家庭内部责任,限制了其劳动参与[15](P1-57)。对于大专及以上学历女性,基于生育的分化趋势更加明显,育儿责任是其劳动参与的重要制约因素。从未结婚组和已婚未育组的劳动参与率无显著差异,显示婚姻状态本身并未对高学历女性的劳动市场参与构成明显阻碍。已婚一孩组和已婚多孩组的劳动参与率明显低于其他两组未生育女性,尤其是在育有多孩的母亲中,劳动参与率显著下降。
二、女性劳动参与率下降的原因

婚育行为模式的变化是影响女性劳动参与率的重要因素。1990-2020年间,推迟婚育和家庭规模缩小成为显著趋势,这些变化不仅直接影响了女性劳动市场的参与,还通过改变女性群体的婚育结构对劳动参与率产生了深远影响。本节采用分解分析方法,量化婚育状态内部劳动参与率变化(组内变化)与婚育行为改变带来的人口结构变化(组间结构变化)对整体劳动参与率的不同贡献。
(一) 1990-2020年25-44岁女性婚育行为模式的变化
近年来,年轻女性推迟婚育年龄和终身不育倾向逐渐增强[16](P32-44)。不同婚育状态女性的劳动供给决策存在显著差异,人群婚育行为的变化是影响劳动参与率的重要因素。表1展示了1990年与2020年间25-44岁女性在不同婚育状态下的构成比例,为分析劳动参与率的变化提供了背景支持。
表1 1990年与2020年25-44岁女性不同婚育状态下的构成比例(单位:%)

注:数据来源于1990年和2020年全国人口普查微观数据。
从全体女性来看,1990-2020年间婚育行为的分布发生了显著变化,推迟婚育和少子化趋势尤为突出。未婚和已婚未育女性的比例显著上升,而育有两个及以上子女的女性比例明显下降。1990年,未婚女性仅占2%,已婚未育女性占3%;到2020年,这两类群体的比例分别增长至12%和6%。育有一个子女的女性比例从30%上升至37%,而多孩母亲的比例从65%下降至45%。这些变化反映出年轻女性在婚育选择上的延迟倾向以及家庭规模的缩小。
不同教育水平女性的婚育模式变化差异显著。高中及以下学历女性群体中,少子化趋势逐渐显现,但婚育仍然是主流选择。1990年,该群体中育有多个子女的比例为67%,到2020年降至55%,但仍占主要构成。未婚女性的比例从2%增至7%,已婚未育女性的比例从3%升至5%,增幅较小。这表明低学历女性群体的婚育模式较为传统,变化幅度有限。高学历女性的婚育行为呈多样化,未婚比例在1990年为8%,到2020年显著增长至22%,推迟婚育甚至不婚的趋势显著。已婚未育女性的比例略微下降,从11%降至10%。此外,已婚一孩女性的比例从63%下降至45%,育有两个及以上子女的比例从18%上升至23%。这一变化可能与全面二孩政策的实施有关,显示高学历女性对生育政策调整的响应更为积极。
(二) 分解方法
为解析1990-2020年间女性劳动参与率下降的来源,本文采用分解分析方法,从“组内变化量”和“组间结构变化量”两方面探讨婚育行为对劳动参与率的影响。通过分析不同婚育状态的女性劳动参与率变化,揭示婚育状态内部劳动参与率变化及婚育行为的结构变化对整体劳动参与率的具体影响。
1990年和2020年的女性劳动参与率可表示为不同婚育状态下劳动参与率的加权平均值:

其中,i 表示婚育状态,包括从未结婚、已婚未育、已婚一孩和已婚多孩;ai, 1990和ai, 2020表示1990年和2020年时婚育为i 的女性比例,LFPi, 1990和LFPi, 2020则表示1990年和2020年时该状态下女性的劳动参与率。将式(2)和(1)相减并整理,可以得到以下的式子:

式中,第一项为组内变化量,表示在婚育状态比例不变情况下,各婚育状态内部劳动参与率的变化对总体变化的贡献;第二项为组间结构变化量,反映婚育状态相对分布的变化对劳动参与率的影响。
(三) 对25-44岁女性劳动参与率变化的分解结果
表2展示了对全体女性及不同教育水平女性劳动参与率变化的分解结果。负值表示该因素的变化导致劳动参与率下降,正值表示上升。从全体女性的情况看,从未结婚和已婚未育女性劳动参与率的下降对1990-2020年女性劳动参与率总变化的影响较小,组内变化量的贡献分别为1.2%和3%。已育女性劳动参与率的下降是总体变化的主要原因,其中多孩母亲对总变化的贡献最为突出。一孩母亲劳动参与率的下降解释了总变化的31.1%,而育有二孩及以上为女性劳动参与率的下降贡献了72.6%。婚育结构调整对劳动参与率下降产生了一定缓解作用,贡献率为8%。
表2 1990-2020年间25-44岁女性劳动参与率变化量的分解

注:表中数据显示了基于式(3)对1990-2020年间25-44岁女性劳动参与率变化的因素分解结果。其中,负值表示该因素导致劳动参与率下降,正值表示上升。
从教育水平看,已生育女性内部劳动参与率变化的来源存在差异。高中及以下学历女性中,多孩母亲劳动参与率的下降是主要原因,贡献率达到67%。从未结婚和已婚未育女性的劳动参与率对总变化的贡献较小,分别为1.3%和3.4%。对于大专及以上学历女性,劳动参与率下降的主要原因是一孩母亲,贡献率高达65%。这一现象可能与高学历女性对育儿质量的要求更高及其所面临的工作压力有关[17](P1091-1119)。多孩母亲劳动参与率的下降对总变化的贡献为22%,可能是由于高学历女性中生育二孩的比例较低。
尽管婚育结构变化在全体女性中缓冲了劳动参与率的下降,但这一作用在各教育群体内部均较为有限。这表明,全体女性中观察到的婚育行为变化对劳动参与率的缓冲作用,主要源于高学历女性比例上升引发的结构性改变。高学历女性倾向于推迟婚育并选择少生甚至不生,这一群体比例的增长降低了总体生育水平,在一定程度上对冲了劳动参与率下降的趋势。
(四) 对女性年龄别劳动参与率变化的分解结果
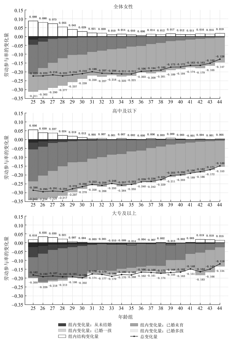
进一步引入年龄维度,分解女性年龄别劳动参与率的变化。图4展示了1990-2020年间各年龄段女性劳动参与率的变化量及其基于婚育状态的分解结果。图中不同灰度的阴影部分表示婚育状态内部的组内变化量,空心框线反映由婚育结构调整引起的组间结构变化量,折线则对应各年龄段女性劳动参与率的总变化量。对全体女性的分析显示,各年龄劳动参与率的下降均由已育女性的组内变化推动。一孩母亲的组内变化的影响随着年龄组的增加逐步减弱,这可能与子女年龄增长后母亲逐步回归职场的趋势有关。相比之下,多孩母亲组内变化的负面影响在各年龄段均显著存在,表明多孩母亲在劳动力市场的参与受到更为持久的限制。此外,婚育状态的组间结构变化在一定程度上缓解了劳动参与率的下降,尤其是在30岁以下的年轻女性中,这一效应可能反映了推迟婚育倾向的增强。

图4 1990-2020年间各年龄段女性劳动参与率变化量的分解
不同教育水平女性的劳动参与率变化表现出显著差异。高中及以下学历女性的劳动参与率变化趋势与全体女性基本一致,多孩母亲的组内变化在所有年龄段均产生显著负面影响;组间结构变化对劳动参与率下降的缓解作用在年轻女性中较为显著。对于大专及以上学历女性,育有一孩女性的劳动参与率下降对各年龄段均有持续影响,即使在40岁以上群体,仍表现为显著的负面效应;二孩母亲的组内变化对35岁以上年龄段的负面作用逐渐显现,这可能与高学历女性较晚生育二孩有关;婚育状态的组间结构变化对30岁以下和40岁以上年龄段表现出缓解效应,显示高学历女性在婚育选择上的多样化倾向,如晚婚晚育或选择少生,减少了婚育对劳动市场参与的限制。
三、已婚女性劳动参与的变化

本节通过Oaxaca-Blinder分解分析1990-2020年间已婚女性劳动参与率的变化趋势,聚焦于教育水平、生育、家庭分工及配偶特征等关键变量,探讨影响已婚女性劳动参与率变化的核心驱动因素。
(一) 已婚女性劳动参与率的影响因素
为深入探究已婚育女性劳动参与率显著下降的原因,本文选取1990年和2020年全国人口普查的微观数据,针对25-44岁已婚女性作回归分析。为确保配偶及同住子女信息的匹配性,样本限定为个体或配偶为户主的女性,以便精确评估婚育因素对劳动参与的影响。回归模型如下:

其中,被解释变量Yi表示女性的劳动参与状态,1表示有工作,0表示无工作;核心解释变量Childi表示女性的生育状况。根据子女数量和家中最小子女的年龄,将生育状况分为以下七组:无子女、1个0-2岁孩子、1个3-5岁孩子、1个6岁及以上孩子、2个及以上孩子且最小子女0-2岁、2个及以上孩子且最小子女3-5岁、2个及以上孩子且所有子女均6岁及以上。在回归分析中,以无子女组为基准组,用于衡量不同生育状况对劳动参与率的相对影响。这种分类不仅能够捕捉子女数量对女性劳动参与率的影响,还能揭示不同年龄段子女带来的育儿负担对母亲劳动供给的差异性影响。
控制变量Xi包括女性的年龄组、是否为少数民族、受教育程度、配偶的年龄、配偶的受教育程度以及女性所处的省份。基于新古典主义的劳动—休闲模型,女性的劳动参与决策是在潜在劳动收入与家庭内部照料需求之间权衡的结果。其中,配偶的收入会影响家庭资源的总体供给,对家庭分工模式和女性的劳动市场参与产生影响。因此,配偶的教育程度是反映家庭经济支持能力的一个重要变量。
表3回归结果显示,1990年育儿负担对已婚女性劳动参与的负面影响较为有限。例如,育有一个0-2岁子女的女性劳动参与率相较无子女组仅低0.4个百分点,且差异不显著;而在子女年龄稍大时,劳动参与率反而呈现正向影响。具体来看,育有一个3-5岁子女的女性劳动参与率比无子女组高出2.5个百分点,育有一个6岁及以上子女的女性劳动参与率则高出5.1个百分点。这表明,子女年幼阶段女性劳动市场参与率较低,但随着子女年龄增长,母亲倾向于重返职场。
表3 1990年和2020年已婚女性劳动参与的决定因素

注:表格报告了1990年和2020年女性劳动参与方程的估计结果。除表中列出的变量外,控制变量还包括女性的年龄组、是否为少数民族、配偶的年龄以及女性所在省份。括号内为稳健标准误。*** p < 0.01, ** p < 0.05, * p < 0.1。
到了2020年,育儿对已婚女性劳动参与的负面影响显著增强,尤其在子女年龄较小时表现突出。育有一个0-2岁子女和一个3-5岁女性的女性劳动参与率相较无子女组分别低11.7和3.1个百分点。在多孩家庭中,最小子女为0-2岁和3-5岁的女性劳动参与率分别比基准组低14.3和4.9个百分点。这表明,与1990年相比,2020年的育儿负担显著限制了已婚女性的劳动供给,特别是育有学龄前子女的多孩家庭,养育责任的加重对母亲的劳动参与形成了更大的挑战。
教育水平对女性劳动参与的正向作用在1990年和2020年随时间增强,高等教育的回报增幅尤为显著。具体而言,1990年,小学、初中和高中学历女性的劳动参与率相较未上过学的女性分别高1.3、2和4个百分点;到2020年,这些差距扩大至7.6、9.8和12个百分点。大专及以上学历女性的劳动参与率在1990年比基准组高12.3个百分点,而到2020年,这一差距显著增加至28.5个百分点。这表明,随着劳动力市场对人力资本需求的提升,教育水平带来的劳动参与梯度差异愈发明显。
配偶教育水平对女性劳动参与率的影响在1990年和2020年间发生了显著变化。1990年,配偶具有高中或大专及以上学历的女性劳动参与率分别比配偶为初中及以下学历的女性高1.3和1.1个百分点。到2020年,这一效应由正转负。配偶学历为高中的女性劳动参与率比基准组低1.8个百分点,而配偶学历为大专及以上的女性劳动参与率则低0.4个百分点。这一变化反映了高学历配偶收入效应的增强。随着家庭整体收入水平提高,“双职工”模式不再是维持家庭需求的必要条件,高学历配偶的收入能力减弱了女性劳动市场参与的必要性,抑制了劳动参与[18](P412-431)。
(二) Oaxaca-Blinder分解
利用1990年和2020年的回归分析结果展开Oaxaca-Blinder分解,可以揭示女性劳动参与率变化的来源。Oaxaca-Blinde分解将总变化量分为禀赋效应和系数效应,用于识别劳动参与率变化是由女性禀赋特征变化(禀赋效应)还是由市场对这些特征响应程度变化(系数效应)所驱动。分解公式如下:

其中,ΔY代表1990年和2020年女性劳动参与率的平均差异;Y1990和Y2020分别为1990年和2020年的平均劳动参与率;X1990和X2020 表示1990年和2020年样本的平均特征向量,例如教育水平和子女数量等;而β1990和β2020则分别代表1990年和2020年回归方程中的系数向量。式中的第一项为禀赋效应,即假设各项系数保持不变时,由特征变化引起的劳动参与率变化。第二项为系数效应,即假设特征保持不变时,由市场对这些特征的重视程度变化引起的劳动参与率变化。
表4显示,生育对劳动参与率的影响尤为显著。系数效应显示,生育使已婚女性劳动参与率下降3.1个百分点,占总下降幅度的14%,是所有可解释因素中影响最大的负向因素。结合表3结果,这一效应主要由学龄前子女引发,表明育儿负担的加剧显著抑制了女性的劳动参与。相比之下,生育行为的变化带来的禀赋效应缓解了3%的下降,但难以扭转整体趋势。
表4 1990-2020年间已婚女性劳动参与率变化量的分解

注:“生育”为各类生育变量影响的总和;“其他”包括少数民族、配偶年龄等控制变量。负值表示该因素导致劳动参与率下降,正值表示上升。
教育在禀赋效应和系数效应中均表现出显著的正向作用。在禀赋效应中,教育水平的提高为已婚女性劳动参与率带来了8.2个百分点的提升(贡献率为39%),显示出教育普及对女性就业机会的促进作用。教育的效应进一步使劳动参与率提高了5.1个百分点,占总变化量的24%,反映了随着经济和技术的发展,高学历女性在劳动力市场中的地位显著增强,其就业机会和市场吸引力也随之提高。
配偶教育对女性劳动参与率的影响规模较小,但总体为负面。在禀赋效应中,配偶教育水平的提高使已婚女性劳动参与率降低了0.2个百分点,占总下降量的1%,反映了男性受教育水平普遍提升的潜在影响。在系数效应中,配偶教育的负面作用更为明显,贡献值达到0.4个百分点,显示出高学历配偶对女性劳动参与的抑制作用增强。这可能是因为男性在劳动力市场中教育回报的增加,使其更能满足家庭经济需求,降低了女性参与劳动市场的必要性,增加了其承担家庭照护职责的倾向。
不可观测因素对女性劳动参与率的下降贡献最大,接近实际下降量的2倍。这表明,文化观念的演变、性别分工的强化等未纳入模型的因素,对女性劳动参与率产生了显著的抑制作用。这些难以量化的因素可能潜移默化地改变了女性的职业选择和家庭角色,制约了女性的劳动供给。
四、研究结论与政策建议

本文基于1990-2020年全国人口普查和抽样调查数据,系统分析了中国女性劳动参与率的变化趋势及其背后的驱动因素,重点从家庭视角深入探讨了劳动参与率下降的机制。研究发现,过去30年间,中国25-44岁女性的劳动参与率从1990年的90%下降至2020年的71%,降幅达22%。教育水平的分组分析显示,高中及以下学历女性的劳动参与率从90%下降至66%,降幅显著高于大专及以上学历女性。年龄分段观察表明,年轻女性的劳动参与率下降尤为明显,尤其是在高学历群体中,劳动参与率的年龄梯度自2000年后显著增强,反映出年轻女性在劳动市场中的参与受到更多的限制。
劳动参与率的下降主要由婚育状态内部的组内变化量驱动,其中已生育女性劳动参与率的下降贡献了20.4个百分点,是实际下降量的104%。低学历女性的退出集中在多孩母亲群体,而高学历女性的下降主要体现在一孩母亲中。婚育行为的结构性变化,如未婚比例提高、多孩家庭比例减少等,对劳动参与率下降具有一定缓冲作用,减少了1.6%的下降幅度,但不足以扭转整体趋势。
生育对家庭内部照料责任的强化显著抑制了女性的劳动市场参与,其系数效应使已婚女性劳动参与率下降3.15个百分点,占总下降幅度的14.4%。女性教育水平的提升对劳动参与率产生了显著的正向作用,然而,配偶教育的负向影响部分抵消了这一积极作用。高等教育的普及虽然大幅提高了女性的人力资本和劳动市场竞争力,但这一优势在传统性别分工模式中未能充分释放。特别是在外部育儿服务价格高昂、社会对母职期待强烈的背景下,即便是高学历女性,也往往因育儿责任而选择牺牲自身的职业发展,以确保子女的早期教育和照护。从社会视角来看,这种选择导致了高素质人力资本的浪费,也加剧了性别角色的固化,限制了女性在经济活动中的深度参与。
针对上述发现,本文提出以下政策建议,以遏止女性劳动参与率下降的趋势。首先,倡导男女平等的家庭责任分担。通过宣传和教育逐步改变传统性别观念,弱化育儿责任的“母职”属性,推动父母共同承担家庭内部的照料责任,减轻女性在育儿方面的不平等负担。其次,推动灵活就业政策,为女性提供更多参与劳动市场的选择,帮助女性平衡家庭与工作的冲突。再次,加强普惠性育儿服务,特别是针对0-3岁婴幼儿的托育服务体系建设。通过加大财政补贴力度、提供税收优惠、支持社区托育中心建设以及鼓励企业设立内部托育设施等方式,扩大托育服务的可及性,有效降低家庭育儿成本。最后,优化职场性别平等环境,减少劳动市场中的性别歧视。针对女性在就业中的隐形壁垒,政府可以出台针对性政策,加强对企业招聘、薪酬和晋升过程的监督,推动女性在职场中的公平待遇。
作者简介:赵耀辉,武汉大学人文社会科学资深教授,武汉大学董辅礽经济社会发展研究院教授;毕汝岱(通讯作者),北京大学国家发展研究院博士研究生。